二分探索木メニューのサムネイル
二分探索木の実装を解くために JavaScript編(paizaランク C 相当)

問題にチャレンジして、ユーザー同士で解答を教え合ったり、コードを公開してみよう!

問題

下記の問題をプログラミングしてみよう!

(はじめに)



このメニューでは、二分探索木 (Binary Search Tree, 以下 BST と表記します) の実装に取り組みます。



BST は「左の子は小さく、右の子は大きい」というルールを持つ二分木です。データの高速な検索に活用されます。



二分探索木の実装には、ノードの挿入、削除、検索、木の回転操作を実装することで理解を深めていきます。



この問題では、二分探索木の実装のために必要な前提知識を確認します。



まずは、早速問題を見てみましょう。






(問題)



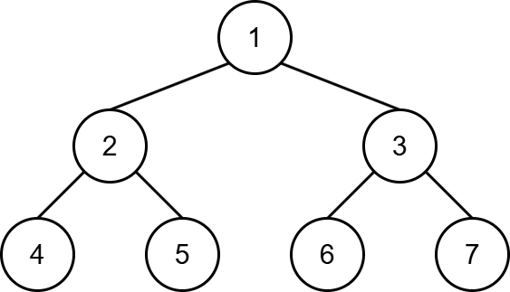
N 個の整数 t1, t2, ..., tN が与えられます。

次のルールに従って木を作成し、木のノードを先行順で訪問した結果を出力してください。



・ i 番目の親の左の子は 2i 番目
・ i 番目の親の右の子は 2i+1 番目

SimpleTree



先行順について



先行順とは、根から順に左部分木、右部分木を訪問する操作方法です。



先行順は再帰を用いた以下のアルゴリズムによって実装できます。



・ 訪問したノードを出力する
・ 左の子がある場合、左の子を訪問する
・ 右の子がある場合、右の子を訪問する
・ 親ノードに戻る

入力される値

N
t1 t2 ... tN


入力値最終行の末尾に改行が1つ入ります。
文字列は標準入力から渡されます。 標準入力からの値取得方法はこちらをご確認ください
期待する出力

作成した木の N 個のノードの要素 ti を先行順で訪問した結果を出力してください。

訪問したノードの値 ti を1行ずつ出力してください。

また、末尾に改行を入れ、余計な文字、空行を含んではいけません。

条件

すべてのテストケースにおいて、以下の条件をみたします。

・ 3 ≦ N ≦ 20

・ 1 ≦ ti ≦ 20

入力例1

5
1 2 3 4 5

出力例1

1
2
4
5
3

入力例2

7
1 2 5 3 4 6 7

出力例2

1
2
3
4
5
6
7

問題一覧へ戻る

  1. paizaラーニングトップ
  2. レベルアップ問題集
  3. 二分探索木メニュー(言語選択)
  4. 問題一覧 JavaScript編
  5. 二分探索木の実装を解くために JavaScript編
ページの先頭へ戻る