二分探索木メニューのサムネイル
AVL木の実装 Java編(paizaランク A 相当)

問題にチャレンジして、ユーザー同士で解答を教え合ったり、コードを公開してみよう!

問題

下記の問題をプログラミングしてみよう!

N 個の整数 t1, t2, ..., tN が与えられます。

次のルールに従って AVL 木を作成し、木のノードを先行順で訪問した結果を出力してください。



全てのノードについて、以下が成り立つ



・ 入力で与えられる t1, t2, ..., tN の順に二分探索木に挿入する
・ 左の子ノードの値は現在のノードの値よりも小さい
・ 右の子ノードの値は現在のノードの値よりも大きい
・ 左右の部分木の高さの差は常に 1 以下

BinarySearchTree



先行順について



先行順とは、根から順に左部分木、右部分木を訪問する操作方法です。



先行順は再帰を用いた以下のアルゴリズムによって実装できます。



・ 訪問したノードを出力する
・ 左の子がある場合、左の子を訪問する
・ 右の子がある場合、右の子を訪問する
・ 親ノードに戻る


木構造について



木構造は、ノード同士が関係性を持つことで作ることができます。



この問題で各ノードが持つべき情報は以下の通りです。



・ ノードの値
・ 親ノードの情報
・ 左の子ノードの情報
・ 右の子ノードの情報


AVL 木について



AVL 木は二分探索木のうちの 1 種類です。



これまでの二分探索木の特徴に加えて、全てのノードが持つ左右の部分木は高さの差が 1 以下を保ち続けるという特徴があります。



AVL 木は以下のアルゴリズムによって実装できます。



・ 二分探索木のアルゴリズムに従ってノードを木に挿入する
・ 挿入した葉から根までノードを遡って以下の操作を行う
・ 現在のノードの左右部分木の高さの差が 2 以上の場合
・ 回転操作を用いて左右部分木の高さを 1 以下にする
・ 1 つ親のノードに移る

入力される値

N
t1 t2 ... tN


入力値最終行の末尾に改行が1つ入ります。
文字列は標準入力から渡されます。 標準入力からの値取得方法はこちらをご確認ください
期待する出力

作成した木の N 個のノードの値 ti を先行順で訪問した結果を出力してください。

訪問先にノードがある場合、訪問したノードの値 ti を 1 行ずつ出力してください。

また、末尾に改行を入れ、余計な文字、空行を含んではいけません。

条件

すべてのテストケースにおいて、以下の条件をみたします。

・ 3 ≦ N ≦ 100

・ 1 ≦ ti ≦ 1000

・ ti ≠ tj (i ≠ j)

入力例1

5
5 4 3 2 1

出力例1

4
2
1
3
5

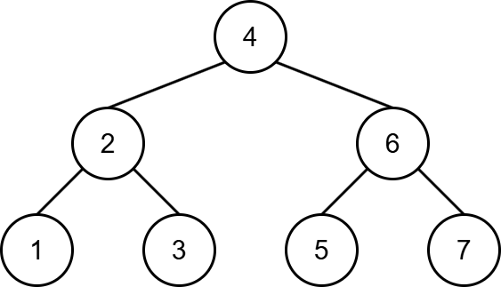
入力例2

7
4 2 5 3 1 6 7

出力例2

4
2
1
3
6
5
7

問題一覧へ戻る

  1. paizaラーニングトップ
  2. レベルアップ問題集
  3. 二分探索木メニュー(言語選択)
  4. 問題一覧 Java編
  5. AVL木の実装 Java編
ページの先頭へ戻る